實驗目的
1.進一步了解阿伏加德羅常數的意義。
2.學習用單分子膜法測定阿伏加德羅常數的原理和操作方法。
實驗用品
膠頭滴管、量筒(10 mL)、圓形水槽(直徑 30 cm)、直尺。
硬脂酸的苯溶液。
實驗原理
硬脂酸能在水面上擴散而形成單分子層,由滴入硬脂酸剛好形成單分子膜的質量m及單分子膜面積s,每個硬脂酸的截面積A,求出每個硬脂酸分子質量m分子,再由硬脂酸分子的摩爾質量M,即可求得阿伏加德羅常數N。
實驗步驟
1.測定從膠頭滴管滴出的每滴硬脂酸的苯溶液的體積
取一尖嘴拉得較細的膠頭滴管,吸入硬脂酸的苯溶液,往小量筒中滴入 1mL,然后記下它的滴數,并計算出 1滴硬脂酸苯溶液的體積V1。
2.測定水槽中水的表面積
用直尺從三個不同方位準確量出水槽的內徑,取其平均值。
3.硬脂酸單分子膜的形成
用膠頭滴管(如滴管外有溶液,用濾紙擦去)吸取硬脂酸的苯溶液在距水面約 5 cm處,垂直往水面上滴一滴,待苯全部揮發,硬脂酸全部擴散至看不到油珠時,再滴第二滴。如此逐滴滴下,直到滴下一滴后,硬脂酸溶液不再擴散,而呈透鏡狀時為止。記下所滴硬脂酸溶液的滴數d。

4.把水槽中水倒掉,用清水將水槽洗刷干凈后,注入半槽水,重復以上操作二次。重復操作時,先將滴管內剩余的溶液擠凈,吸取新鮮溶液,以免由于滴管口的苯揮發引起溶液濃度的變化。取三次結果的平均值。
5.計算
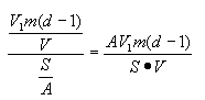
(1)如稱取硬脂酸的質量為m,配成硬脂酸的苯溶液的體積為V,那么每毫升硬脂酸的苯溶液中含硬脂酸的質量為m/V。
(2)測得每滴硬脂酸的苯溶液的體積為V1,形成單分子膜滴入硬脂酸溶液的滴數為(d—1)(詳見注釋),那么形成單分子膜需用硬脂酸的質量為:

(3)根據水槽直徑,計算出水槽中水的表面積S。已知每個硬脂酸分子的截面積A=2.2×10-15cm2,在水面形成的硬脂酸的分子個數為:S/A。
(4)根據(2)和(3)的結果,可計算出每個硬脂酸分子的質量為:

(5) 1mol硬脂酸的質量等于284g(即 M=284g/mol),所以 1mol硬脂酸中含有硬脂酸的分子個數,即阿伏加德羅常數N為:

注釋:當最后一滴硬脂酸溶液滴下后,這滴溶液在水面呈透鏡狀,說這滴溶液沒有擴散,即沒有參與單分子膜的形成。這時單分子膜已經形成完畢,應停止滴入溶液,所以,在計算形成單分子膜所需硬脂酸溶液的滴數時,應將最后一滴減掉,即滴數計為d—1。
說明:
一、實驗成功標志
根據實驗數據計算的阿伏加德羅常數 NA在(5-7)×1023范圍內為成功。
二、失敗征象
實驗測定的阿伏加德羅常數數量級不等于1×1023。
三、原因分析
1.因為苯是易揮發的溶劑,故在配制、使用硬脂酸苯溶液的過程中因為苯的揮發,造成濃度的變化。
2.在測量每滴硬脂酸苯溶液體積時是連續滴液的,在形成單分子膜時的滴液是間歇的,同時,滴管內液體多少不同,手捏膠頭的力不同這些因素,均可導致液滴的大小不均勻。
3.水槽洗滌不干凈,將會造成很大的誤差。
4.水槽水面直徑測量不準確也會造成誤差。
四、注意問題
1.苯中有少量的水,可用無水氯化鈣或氧化鈣除去。
2.配好待用的硬脂酸苯溶液一定要嚴加密封,防止苯的揮發。在使用過程中要隨時加塞塞住。
3.在使用膠頭滴管滴液時,均要采取垂直滴入法,以保持液滴大小均勻。
4.在形成單分子膜的過程中,應保持水面平靜,防止單分子膜重疊。
5.水槽的洗滌:每做完一次實驗,一定要把水槽洗滌干凈。否則,第二次實驗所需硬脂酸苯溶液的滴數將明顯減少,因為殘留在水槽內的硬脂酸分子會占據部分水面。洗滌方法:用自來水充滿水槽,讓水從水槽邊溢出,反復2-3次即可。
