文武教師溫馨提示:近期文武教師網收到舉報,有詐騙分子發布虛假信息,進行騙取報名費,如信息中涉及報名收費,請各位老師謹慎鑒別,確認無誤后再繳費報名,以免上當受騙,一般教育局組織的招聘才需要支付費用,學校招聘不需要支付,文武網所提供的所有考試信息僅供參考,敬請考生以權威部門公布的正式信息為準。
歡迎加入蘇州教師招聘群;587244349,考情、招聘信息早知道








| 首頁 | 浙江教師 | 福建教師 | 江蘇教師 | 廣東教師 | 江西教師 | 安徽教師 | 北京教師 | 上海教師 | 天津教師 | 湖南教師 | 湖北教師 | 河南教師 |
| 河北教師 | 海南教師 | 重慶教師 | 貴州教師 | 遼寧教師 | 吉林教師 | 山西教師 | 廣西教師 | 云南教師 | 陜西教師 | 甘肅教師 | 青海教師 | 四川教師 |
| 山東教師 | 內蒙古教師 | 黑龍江教師 | 寧夏教師 | 新疆教師 | 西藏教師 | 教師面試 | 說課稿 | 教案 | 事業單位招聘 | 公務員考試 | 特崗教師 | 教師資格考試 |
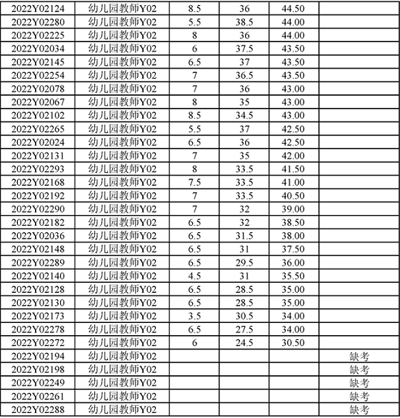
|
|
||||||||||||
|
文武教師溫馨提示:近期文武教師網收到舉報,有詐騙分子發布虛假信息,進行騙取報名費,如信息中涉及報名收費,請各位老師謹慎鑒別,確認無誤后再繳費報名,以免上當受騙,一般教育局組織的招聘才需要支付費用,學校招聘不需要支付,文武網所提供的所有考試信息僅供參考,敬請考生以權威部門公布的正式信息為準。 歡迎加入蘇州教師招聘群;587244349,考情、招聘信息早知道
|
全國各地QQ交流群(點擊進入加群)

謹防受騙提示:如果報名時出現收費或匯款等情況,請廣大考生注意分辨真偽,謹防上當受騙 特別說明:由于各方面情況的不斷調整與變化,文武網所提供的所有考試信息僅供參考,敬請考生以權威部門公布的正式信息為準。 本站教師招聘信息來自各地人社局、政府網、人事考試網、教育局、高校、中小學等官方信息,快速及時、權威可靠。如果有侵犯版權請qq:3412729300聯系我們,我們將在24小時之內刪除! |